结构性测试(白盒测试)
结构性测试方法:
- 路径测试
- 数据流测试
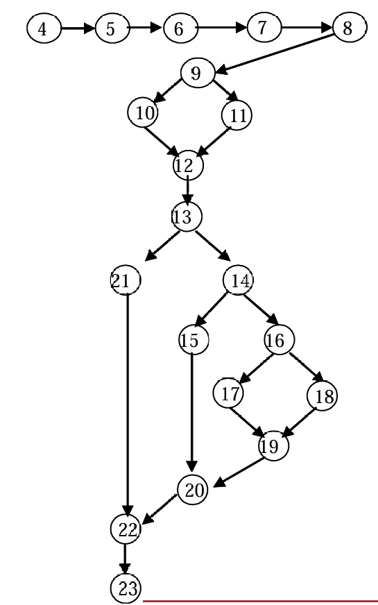
基于路径的测试
程序流图
1.Program triangle2
2.Dim a,b,c as Integer
3.Dim IsATriangle As Boolean
4.OutPut(“Enter 3 integer which are sides of a triangle”)
5.Input(a, b, c)
6.OutPut(“Side A is “, a)
7.OutPut(“Side B is “, b)
8.OutPut(“Side C is “, c)
9.If (a < b + c) AND (b < a + c) AND (c < a + b)
10. Then IsATriangle = True
11. Else IsATriangle = False
12.EndIf
13.If IsATriangle
14.| Then If (a = b) AND (b = c)
15.| | Then Output(“等边三角形”)
16.| | Else If (a<>b) AND (a <> c) AND (b <> c)
17.| | | Then Output(“一般三角形”)
18.| | | Else Output(“等腰三角形”)
19.| | EndIf
20.| EndIf
21.Else Output(“非三角形”)
22.EndIf
23.End triangle2

由于程序流图没有严格的规范,所以需要统一为DD-路径
DD-路径的定义:
DD-路径是程序图中的一条链,使得(程序流图仅由以下五种情况组成):
- 情况1:由一个节点组成,入度=0。
- 情况2:由一个节点组成,出度=0。
- 情况3:由一个节点组成,入度≥2或出度≥2。
- 情况4:由一个节点组成,入度=1并且出度=1。
- 情况5:长度≥2的最大链(单入单出的最大序列)。

语句覆盖:使程序中每一可执行语句至少执行一次
分支覆盖:使程序中的每个逻辑判断的取真取假分支至少经历一次
条件覆盖:所有判断的每种分支(每个分支可能有多个判断条件,比如if A or B,条件覆盖需要A和B都取过T/F,如TT,FF)
多条件覆盖(条件组合覆盖):使得每个判断表达式中条件的各种可能组合都至少出现一次(对于每个判断条件,覆盖所有取值可能,比如if A or B,多条件覆盖需要TT,TF,FT,FF四种都覆盖)
分支/条件覆盖:既满足分支覆盖,又满足条件覆盖
路径覆盖:覆盖所有可能的路径组合
基本路径:
- 必须从程序起点到程序终点
- 必须包含其他基本路径没用到的边,或者引入一个新处理语句/新判断
通过基本路径的线性组合可以得到所有路径

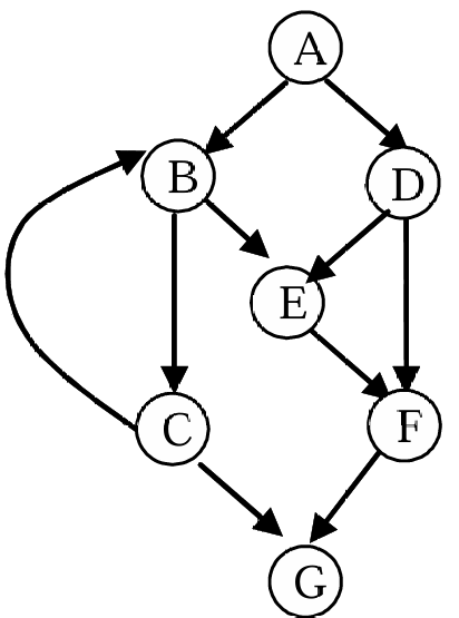
上图的基本路径:
- P1:A,B,C,G
- P2:A,B,C,B,C,G
- P3:A,B,E,F,G
- P4:A,D,E,F,G
- P5:A,D,F,G
圈复杂度:V(G)=e-n+2p
e为边数,n为节点数,p为连通部件数(因为程序必定连通,所以p≡1)
对于上图:e=10,n=7,p=1,V(G)=5
另:如果是强连通图(存在一条从终点指向起点的路径,即整个程序是一个强连通分量,则V(G)=e-n+p)
圈复杂度的另一种计算方法:判定节点的数量+1
判定节点:if; while; for; case; catch; and,or; 三元运算符
1(while) + 1(while) + 1(if) + 1 = 4
void sort(int *A)
{
int i = 0;
int n = 5;
int j = 0;
while (i < (n - 1))
{
j = i + 1;
while (j < n)
{
if (A[i] < A[j])
{
swap(A[i], A[j]);
}
}
i = i + 1;
}
}
1(for) + 2(if) + 1 = 4
int find (int match)
{
for (int var in list)
{
if (var == match && var != NAN)
{
return var;
}
}
}
数据流测试
定义-使用(def-use)测试
定义节点:输入语句、赋值语句、循环控制语句、过程调用语句
使用节点:输出语句、赋值语句、条件语句、循环控制语句和过程调用语句,都是可能的使用语句。但它们不改变变量的值。
7. lockPrice=45.0
8. stockPrice=30.0
9. barrelPrice=25.0
10. totalLocks=0
11. totalStocks=0
12. totalBarrels=0
13. Input(Locks)
14. While NOT(Locks==-1)
15. | Input(stocks,barrels)
16. | totalLocks=totalLocks+Locks
17. | totalStocks=totalStocks+stocks
18. | totalBarrels=totalBarrels+barrels
19. | Input(Locks)
20. ENDWhile
21. Output(“Locks sold:”,totalLocks)
22. Output(“Stocks sold:”,totalStocks)
23. Output(“Barrels sold:”,totalBarrels)
24. lockSales=lockPrice*totalLocks
25. stockSales=stockPrice*totalStocks
26. barrelSales=barrelPrice*totalBarrels
27. Sales=lockSales+stockSales+barrelDSales
28. Output(“Total Sales: ”,Sales)
29. If (sales>1800)
30. Then
31. | commission=0.10*1000.0
32. | commission=commission+0.15*800.0
33. | commission=commission+0.20*(sales-1800.0)
34. | Elseif(sales>1000.0)
35. | Then
36. | | commission=0.10*1000.0
37. | | commission=commission+0.15*(sales-1000.0)
38. | Else
39. | | commission=0.10*sales
40. | EndIf
41. EndIf
42. Output(“commission is $”,commission)
43. End commission
| 变量名 | 定义节点 | 使用节点 |
| lockPrice | 7 | 24 |
| stockPrice | 8 | 25 |
| barrelPrice | 9 | 26 |
| totalLocks | 10,16 | 16,21,24 |
| totalStock | 11,17 | 17,22,25 |
| totalBarrels | 12,18 | 18,23,26 |
| locks | 13,19 | 14,16 |
| stocks | 15 | 17 |
| barrels | 15 | 18 |
| locksales | 24 | 27 |
| stocksales | 25 | 27 |
| barrelsales | 26 | 27 |
| sales | 27 | 28,29,33,34,37,39 |
| commission | 31,32,33,36,37,39 | 32,33,37,42 |
定义-使用路径du-path:以定义节点开头,使用节点结尾
定义-清除路径dc-path:以定义节点开头,使用节点结尾,且路径途中没有其他(该变量的)定义节点
定义-使用路径测试的覆盖指标
- 全定义准则:覆盖所有定义节点到一个使用节点的du-path
- 全使用准则:覆盖所有定义节点到所有使用节点的du-path
- ……
程序片:给定程序P,变量V,语句n,将P中所有对n处的V有贡献的语句集合定义为程序片,记作S(v,n)
比如示例程序中S(Locks,13)={13}; S(Locks,14)={13,14,19,20}; S(Locks,16)={13,14,19,20}
同时,如果变量V处于循环体/if-else语句中,则还会收到其他变量的影响,比如S(Stocks,15) ={13,14,15,19,20}
回归测试
回归测试:测试如何适应软件的迭代化开发
基本过程:
- 识别软件中被修改的部分
- 排除不再适用的测试用例,确定依然有效的测试用例,构建一个新的测试用例库
- 依照一定的策略,从测试用例库中测试被修改的软件
- 如有必要,生成新的用例库用于测试原有用例库无法测试到的软件
回归测试的用例选择方法:
- Test selection using execution trace(执行跟踪/执行路径) and execution slice(执行切片)
- Test selection using test minimization(测试最小化)
- Test selection using test prioritization
Test selection using execution traceand execution slice
- 找到每个测试用例的执行路径
- 提取出CFG(控制流图)中每个节点的测试向量(test vector)
- 构建原程序P和新程序P’的语法树(syntax trees)
- 遍历两个CFG,确定仍适用的测试用例(测试优先级)
考虑程序P,其源码如下,并根据源码构建出CFG,再根据CFG构建出每个节点的语法树



另有上次迭代遗留的三个测试用例如下,并可以推出其执行路径


以此得到测试向量:

然后根据P和P’的CFG及语法树,递归比较语法树,如果发现不同之处,则将经过该节点的测试用例添加到新的测试用例中(只测试修改的部分)
Test selection using test minimization
首先需要定义“测试实体”:可以是函数,可以是一个代码块
程序P有main和f两个函数,测试用例t1仅运行main,测试用例t2运行main和t2,现在假定程序P修改f后变成了P‘,显然我们没有必要再运行t1的测试。

Test selection using test prioritization
需要定义测试的优先级,只测试优先级高的。
变异测试
不使用覆盖率,从另一个角度评价测试的充分性。
如何定义测试的充分性?
对于原程序P的修改程序P’,如果P’能通过P的测试集T,则T是不充分的。T能否区分P和P’代表了T的充分性。当然也有特殊情况,比如冒泡排序和快排的结果一定是相同的,这种情况下P‘是P的等价变异体。
- 生成k个变异体
- 对每个变异体运行测试T,如果有未通过的测试则不再考虑此变异体
- 如果所有变异体都被区分了,说明测试T是足够的;如果有k1个变异体未被区分,则定义mutation score (MS,变异分数)MS=k1/(k-e),e为变异体中等价变异体的数量。
MS=1,说明T区分了所有的非等价变异体,测试是充分的;否则是不充分的。测试充分性和自行设计的变异体有关
例:
原程序:input(x,y); return x-y;
T:{t1:x=1,y=0; t2:x=-1,y=0}
生成变异体:x+y;x-0;0+y;
对生成的三个变异体测试,则有

变异体一般通过简单的修改生成,比如运算符号的替换等等。替换一处叫一阶变异体,替换多处叫多阶变异体。考虑到程序员一般会出简单的错误(熟练程序员假设),因此一般使用一阶变异体。
777phslot, slots are fun, and the graphics are pretty good. I’ve had a few wins, so I can’t complain. Spin those reels at 777phslot.
If you’re on the go, the we999gameapk is pretty convenient. Got some decent wins on my phone. Check it out we999gameapk.
Swertewin, righto! Let’s see if we can swerte (win) some dosh! Bring on the good times, I say! swertewin